TEMA5. - Números Racionales
1309
Concepto de número racional.
El cociente de dividir dos números enteros no siempre resulta ser un número entero.
Divisiones como, 53 ; (-7)
5 ; 9
(-7) no son posibles en el conjunto de los números Z.
Para dar solución a estas operaciones se creó un nuevo conjunto llamado el conjunto de los números racionales, que se nota con Q y se define,
Las divisiones anteriores se pueden expresar por medio de números racionales así:
5/3 , -7/5 , 9/-7
Términos de un número racional.Un número racional está formado por:
1. El signo. Puede ser positivo o negativo y se escribe antes del número
2. El numerador. Es el número escrito en la parte superior e Indica las partes iguales que se toman de la unidad.
3. El denominador. Es el número que se escribe en la parte inferior e Indica las partes iguales en que se divide la unidad.
Ejemplo:
FRACCIONES EQUIVALENTES
Son aquellas fracciones que representan la misma cantidad.
Ejemplo.

La parte sombreada de las tres gráficas representa la misma cantidad,por lo tanto se comprueba que
Se puede seguir encontrando infinitas fracciones equivalentes a
Dos fracciones son equivalentes si los productos del numerador de una y el denominador de la otra son iguales, es decir, productos cruzados.
Ejemplos:verificar si las fracciones
Para ello multiplicamos el numerador de una de las fracciones por el denominador de la otra.
5 x 4 = 20 2 x 10 = 20 (Como el resultado es el mismo, podemos decir que 5/2 y 10/4 son fracciones equivalentes.)
Ahora vamos a comprobar si 5/7 y 2/3 son equivalentes
Para ello multiplicamos
5 x 3 = 15 7 x 2 = 14 (Como el resultado no es el mismo, podemos decir que 5/7 y 2/3 no son fracciones equivalentes.)
¿Cómo podemos calcular fracciones equivalentes?
- Por amplificación: Multiplicando numerador y denominador por el mismo número.
Por ejemplo, partiendo de la fracción 2/3 y multiplicando el numerador y el denominador por el mismo número, podemos obtener diferentes fracciones equivalentes.
Ejemplo
por tanto
- Por simplificación: Dividiendo numerador y denominador por un divisor común entre ambos.
Ejemplo:
( Tanto numerador como denominador se dividieron por 6)
por lo tanto 12/30 y 2/5 son fracciones equivalentes
La recta numérica para los números racionales.
Para representar un número racional sobre la recta numérica se debe tener en cuenta.
1. Los números positivos se representan a la derecha de cero y los números negativos a la izquierda.
2. Se elige una longitud (siempre la misma) para representar a la unidad.
3. Se divide la unidad en tantas partes iguales como indica el denominador de la fracción que se va a representar.
4. Se cuenta tantas partes como indica el numerador. El punto que coincide con el número de partes es el que representa el número racional (coordenadas del punto en la recta).
Recordemos el significado de unidad.
Unidad = 1 y se representa en la recta numérica por un segmento del tamaño conveniente; definido el tamaño de la unidad se deben tomar las otras unidades de la misma medida.
| | Una unidad
| | | | | | | | 8 Unidades
Ejemplos
Representar en la recta numérica los siguientes números racionales:

OPERACIONES CON NÚMEROS RACIONALES
Adición
Se presentan dos casos en la suma de números racionales.
Caso 1. Suma de fraccionarios del mismo denominador.
Se suman los numeradores (teniendo en cuenta su signo) y el resultado se escribe con el mismo denominador. Si la fracción resultante no es un racional ésta se debe simplificar hasta obtener el racional correspondiente.
Ejemplos:
Caso 2. Suma de fracciones con distinto denominador.
a. Se halla un denominador común a todas las fracciones ( mcm de los denominadores).
b. Se hallan las fracciones equivalentes con el denominador común.
c. se procede luego como en el primer caso.
Ejemplos:
Sustracción de números racionales.
Caso 1. Resta de fraccionarios del mismo denominador.
Se restan los numeradores (teniendo en cuenta su signo) y el resultado se escribe con el mismo denominador, si se puede se debe simplificar.
caso dos: Si los denominadores son diferentes
Multiplicación.
Para multiplicar números racionales se multiplican sus numeradores entre sí y sus denominadores entre sí.
La ley de signos para multiplicar números racionales es la misma ley que se sigue para multiplicar números enteros. Así:
1. El producto de dos racionales de igual signo,es positivo
(+) · (+) = +
(-) · (-) = +
Ejemplos:

2. El producto de dos racionales de distinto signo es negativo.
(-) . (+) = -
(+) · (-) = -
Ejemplos:
Resulta muy práctico simplificar las fracciones antes de multiplicarlas.
Esta simplificación se puede realizar ya sea en forma vertical o en forma diagonal; lo importante es que cada vez que se realice una simplificación, se haga del tal forma que se simplifique un numerador con un denominador, sin que ellos tengan que ser necesariamente de la misma fracción.
Se recomienda simplificar las fracciones antes de multiplicarlas.
Potencias de exponente entero y base racional
Ejemplo: 
Ejemplo: 
Ejemplo: 
Propiedades de las potencias de números racionales
Potencia de 0
Un número racional elevado a 0 es igual a la unidad.
Ejemplo: (4/5)0= 1Potencia de 1
Un número racional elevado a 1 es igual a sí mismo.
Ejemplo: (3/7)1= 3/7Producto de potencias
Potencias con la misma base
Es otra potencia con la misma base y cuyo exponente es la suma de los exponentes.
Ejemplo: 
Potencias con el mismo exponente
Es otra potencia con el mismo exponente y cuya base es el producto de las bases.
Ejemplo: 
Cociente de potencias
Potencias con la misma base :Es otra potencia con la misma base y cuyo exponente es la diferencia de los exponentes.
( Los dos puntos tambien indican división)

Ejemplo: 
Potencias con el mismo exponente :Es otra potencia con el mismo exponente y cuya base es el cociente de las bases.


Potencia de una potencia: Es otra potencia con la misma base y cuyo exponente es el producto de los exponentes.
Ejemplo: 
Suma:
Para efectuar la suma, los números se escriben en forma de columna, las comas deben ir también en columna separando la parte entera de la decimal, los números decimales que no tienen las mismas cifras decimales se escriben ceros a la derecha de la última cifra decimal hasta igualarlas.
Ejemplo
a) 3,325 + 0,35 + 324,027 b) 5,304 + 25 + 0,32
3,325 5,304
+ 0,350 + 25,000
3z24,027 0,320
327,702 30,624
Resta
Los números decimales se escriben en columna, el sustraendo debajo del minuendo, de tal forma que la coma también quede en columna. Se restan como si fueran números naturales, y a cada diferencia se le coloca la coma decimal en la misma columna. Si el minuendo y el sustraendo no tienen las mimas cifras decimales, se escriben ceros a la derecha de la última cifra hasta igualarlos.
a) 21,034 – 17,154 b) restar 24,4 de 27 c) ha 8,048 restarle 3,07
solución:
a) 21,034 b) 27,0 c) 8,048
- 17,154 - 24,4 - 3,070
4,880 2,6 4,978
Multiplicación
Los números decimales se multiplican como los números naturales
Para multiplicar un número decimal por una potencia de diez, se corre la coma tantos lugares como ceros tenga la potencia de diez
a) Ejemplo: 139,31 x 10 = 1.393,1 b)10,547 x 1000=10547
c) 3,64x10000=36400
Multiplicacion de dos números decimales
Observe el siguiente video
División
Vamos a ver cómo resolver divisiones con números decimales. Estudiaremos tres casos.
1. Dividir un número decimal entre otro número decimal.
2. Dividir un número entero entre un número decimal.
3. Dividir un número decimal entre un número decimal.
Para esto los invito a ver el siguiente video de LOGO ACADEMY
https://www.youtube.com/watch?v=bikvpR8ZLEo&ab_channel=LOGOSACADEMY


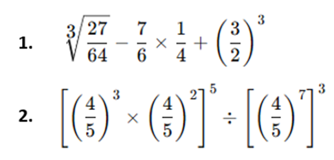
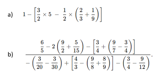
Taller 7
Del 18 de octubre al 1 de noviembre de 2025
Resolver las siguientes operaciones:
